Оптимизация свойств силикатных материалов на основе известково-песчано-глинистого вяжущего
Содержание породы принималось в пределах от 10 до 60%, длительность изотермической выдержки (*2) — 2—8 ч, давление при автоклавной обработке (.*3) — от 0,6 до 1,2МПа и содержание СаОакт (*4) — от 4 до 10%.
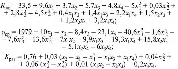
После статистической компьютерной обработки экспериментальных данных были получены модели изменения прочности при сжатии Rсж, средней плотности ρср и коэффициента размягчения Краз силикатных образцов:
Полученные данные показывают, что с увеличением содержания супеси в составе вяжущего растет прочность изделий, причем наибольшая интенсивность прироста прочности наблюдается при содержании породы до 30—40% (рис: 1а—г). Наибольшая средняя плотность при небольшой активности смеси наблюдается при содержании супеси 40-45% (рис. 1д, ж). При увеличении содержания извести наибольшая средняя плотность смещается в область меньшего содержания супеси (30—35%) (рис. 1е, з). Данные о коэффициенте размягчения Краз показывают, что при оптимальном содержании супеси в смеси получаются водостойкие изделия. Этот показатель зависимости от активности смеси: при небольшой активности смеси повышение содержания супеси снижает водостойкость (рис. 1и, л), а при большей активности повышает (рис. 1к, м). Морозостойкость всех составов отвечает маркам F25—F35, водопоглощение находится в пределах 10—12%.
Использование моделей позволяет для получения изделий с заданной прочностью провести расчет технологических параметров, из которых можно выбрать оптимальные для конкретных производственных условий. Рассчитаны составы сырьевых смесей и режимы гидротермальной обработки для получения материала с прочностью при сжатии от 20 до 50 МПа.
Известково-песчаные (контрольные) образцы, содержащие 8% СаОакт, автоклавированные при 1 МПа с 6 ч изотермической выдержкой, характеризуются прочностью при сжатии 30 МПа. Введение супеси позволяет повысить прочностные показатели. Так, например, введение 30% супеси позволяет достичь прочности в 35. МПа, а 40% — 40 МПа. Снижение дозировки извести или уменьшение расхода энергоносителя при сокращении длительности изотермической выдержки или давления автоклавной обработки приводят к снижению прочности изделий.
Изменение состава новообразований при Введении в вяжущее песчано-глинистой породы происходит за счет реакции гидроксида кальция с породообразующими минералами глин [3].
Гидратные новообразования в образцах с супесью и в контрольных известково-песчаных образцах представлены гидросиликатами кальция CSH(B). В случае экзоэффекта в область более высоких (850—860?С) температур, вероятно, связано с повышением основности гидросиликатов кальция. Наряду с гидросиликатами кальция образуются гидрогранаты, которые фиксируются по эндотермическому эффекту при 340°С (рис. 2, а)о и дифракционным максимумам в пределах 2,75—2,79 А на дифрактограммах (рис. 2,6). Содержание кремнезема в гидрогранатах составляет 0,8—1,2 моль.
При недостаточном количестве глинистых минералов известь связывается не полностью, и соответственно уменьшается количество связующего. В образцах с 5% супеси и 8% СаО из-за недостаточного количества песчано-глинистой породы, необходимой для взаимодействия с находящейся в сырьевой смеси известью, гидроксид кальция остается несвязанным (эндотермический эффект при 480°С). Это приводит к снижению прочности силикатных материалов с содержанием супеси 5—10%.Такой результат согласуется с выводами работы [3], в которой было показано, что в известково-глино-песчаной смеси с известью реагируют преимущественно глинистые минералы, что оказывает определяющее влияние на процессы синтеза гидратных новообразований. Тонкодисперсный кварц вступает в реакцию с образованием низкоосновных гидросиликатов кальция типа CSH(B) лишь частично. В рассматриваемых гидротермальных условиях кварц обладает необходимой реакционной способностью лишь в том случае, если размер его частиц меньше 0,005 мм: С укрупнением зерен кварца его реакционная способность снижается. Крупный кварц практически не реагирует с известью.