Влияние формы компонентов на интенсивность межчастичных взаимодействий в пенобетонных смесях
Скорость межчастичных взаимодействий, обеспечивающих переход пенобетонных смесей из вязкопластичного в упругое состояние, предопределяет их агрегативную устойчивость и качество затвердевшего бетона. Агрегативно устойчивыми принято считать такие смеси, которые вплоть до затвердевания сохраняют в своем объеме вовлеченную при перемешивании компонентов газовую фазу. Вода в таких смесях в период начального структурообразования обеспечивает глобальную связность между всеми компонентами дисперсной системы. Причем распределяется в объеме весьма неравномерно.
Причиной неравномерного распределения воды в пенобетонных смесях являются высокие адсорбционные свойства ПАВ, проявляемые ими в результате вовлечения в дисперсную систему частиц газовой фазы. Цементосодержащие дисперсные системы, содержащие незначительное количество вовлеченной газовой фазы (до 10% по объему), становятся агрегативно неустойчивыми при средней толщине водных пленок примерно 110~7м [1]. По данным В.Т. Перцева, средняя толщина водных пленок в пенобетонных смесях в 5—15 раз больше [2].
Сохранение агрегативной устойчивости дисперсной системы при столь существенной разнице в водосодержании возможно только потому, что крупные молекулы ПАВ в ходе перемешивания переводят значительное количество межчастичной воды из объема смеси в состав жидкого кристалла пенной пленки [3]. В результате этого процесса значительная часть свободной влаги перемещается из объема дисперсной системы на границу раздела газ—жидкость. Таким образом, толщина водных пленок на поверхности частиц твердой фазы существенно уменьшается, и дисперсная система оказывается способной сохранять агрегативную устойчивость.
В технологии изготовления пенобетонных смесей перемещения ПАВ и межчастичной воды на границу раздела газ-жидкость происходят до тех пор, пока к компонентам смеси поступает энергия перемешивания. После укладки смесей в форму под действием гравитационных сил какая-то часть слабосвязанной воды может выдавливаться из ореола жидкого кристалла и перемещаться в направлении минимальной плотности дисперсной системы.
Поэтому со временем нарушается подвижное равновесие между количеством ПАВ в составе пенных пленок и в межчастичной жидкости, установившееся в результате перемешивания. Параллельно с этим процессом имеет место адсорбционная и химическая диспергация зернистых частиц цемента, способствующая общему, повышению дисперсности системы и соответственному увеличению ее внутренней энергии. В результате повышения дисперсности какое-то количество межчастичной воды переходит в разряд пленочной, и таким образом также замедляется процесс раздвижки частиц твердой фазы в слоях уложенной смеси. Но в нижних слоях, там, где слабосвязанная вода была выдавлена гравитационными силами,
повышается концентрация ПАВ, ведущая к понижению упругих свойств жидкой фазы [4] и ослаблению вязких связей между компонентами.
Повышение концентрации ПАВ в нижних слоях пенобетонных смесей практически неопасно до тех пор, пока не достигнута критическая концентрация мицеллобразования (далее ККМ), вызывающая коалесценцию, т. е. разрыв структуры жидких кристаллов и объединение мелких пор в крупные. Скачкообразная перестройка структуры материала в период преобладания вязких связей между компонентами всегда отрицательно влияет на механические свойства затвердевшего материала. Поэтому так важно сохранение всей вовлеченной при перемешивании газовой фазы внутри бетонной смеси. Удержание газовой фазы возможно до тех пор, пока силы связи между дисперсными частицами выше напряжений растяжения, возникающих в межпоровых перегородках под действием выталкивающей силы, развиваемой газовыми включениями. Следовательно, рецептура высококачественных пенобетонных смесей должна обеспечивать такую скорость набора прочности, при которой будет исключена возможность утраты ими газовой фазы и расслоения.
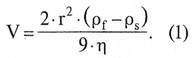
Анализ причин утраты агрегативной устойчивости дисперсных систем показывает, что скорость их расслоения (V) [5] прямо пропорциональна квадрату радиуса частиц дисперсной фазы (г) и разности плотностей частицы (ρf) и среды (ρs), обратно пропорциональна вязкости среды (η):