Теоретические аспекты улучшения теплотехнических характеристик пористых систем
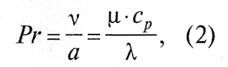
Критерий Прандтля:
где v — коэффициент кинематической вязкости, м2/с, который равен µ/ρ; a — температуропроводность, м2/с, равная λ/ср*ρ; µ — коэффициент динамической вязкости, Па*с; ср - теплоемкость, Дж/(кг*°С); ƛ — коэффициент теплопроводности, Вт/(м °С); ρ — плотность газа, кг/м3.
Критерий Прандтля характеризует подобие физических свойств теплоносителей в процессах конвективного теплообмена. Он является мерой подобия полей температур и скоростей, показывает отношение сил вязкости к интенсивности теплопереноса.
Критерии Грасгофа и Рэлея описывают процессы в поле силы тяжести.
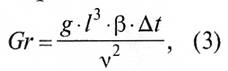
Критерий Грасгофа:
где g — ускорение свободного падения, м/с2; β — коэффициент объемного теплового расширения газа, °С-1; Δt — разность температур, °С.
Критерий Грасгофа представляет собой меру соотношения сил внутреннего трения (вязкости) и подъемной силы, определяемой разностью плотностей в различных точках неизотермического потока.
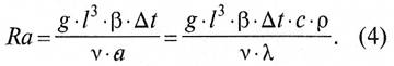
Критерий Рэлея:
Критерий Рэлея показывает отношение величины теплового расширения к силам вязкости и теплопроводности.
Нетрудно заметить, что критерий Рэлея является произведением критериев Грасгофа и Прандтля, т. е.:
|
научно-технический и производственный журнал |
Критерии подобия могут быть получены для любого процесса, если известны аналитические зависимости между характеризующими его величинами — дифференциальные уравнения, описывающие процесс [3].
Сложный характер структуры и механизма теплопереноса в дисперсных телах (теплопроводность, конвекция, излучение и др.) обусловил применение к ним термина «эффективная теплопроводность» [4, 5].
В настоящее время можно считать доказанным, что эффективные теплофизические свойства материала в общем случае зависят от размеров образцов, их формы, скорости подъема температуры, величины теплового потока [5—7].
Тепловое излучение играет существенную роль при температуре более 600°С [3]. Так как ограждающие конструкции из пено- и газобетона эксплуатируются при более низких температурах, то этой составляющей можно пренебречь.
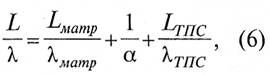
Передача тепла теплопроводностью будет складываться из λ Mamp и λ ячеек. Последняя состоит из теплопроводности теплового пограничного слоя (λ тпс), теплопроводности слоя газа в объеме ячейки и конвективного теплопереноса в поре (коэффициент теплоотдачи а).
Таким образом, тепловое сопротивление ячеистого материала будет иметь следующий вид:
где L — определяющий геометрический размер; LMamp — толщина межпоровой перегородки, которая имеет небольшое численное значение; Lтпс—толщина теплового пограничного слоя.